中国人群遗传负荷、健康生活方式与胃癌发病风险新发现
近期,沈洪兵教授课题组在国际著名期刊《柳叶刀-肿瘤病学》(The Lancet Oncology; IF:33.7)发表题为“遗传负荷、健康生活方式与胃癌发病风险--基于全基因组整合分析和中国超大型前瞻性队列研究”的研究论文。

我国是胃癌发病率最高的国家之一,全球超过40%的胃癌发病和死亡发生在我国。遗传易感体质、幽门螺杆菌感染(Helicobacter pylori,H. pylori)以及不健康的生活方式可能共同导致了我国胃癌的巨大疾病负担。近十年来,国内外学者先后开展了多项胃癌全基因组关联研究(Genome-wide association study, GWAS),先后鉴定了10余个胃癌易感区域,然而这些易感位点是否可以预测胃癌的发病风险并识别高危人群,目前尚缺乏前瞻性人群研究证据的支持。本研究在前期研究的基础上,进一步扩大全基因组关联研究覆盖人群,开展了迄今为止最大的中国人群胃癌全基因组关联研究(累计10254例胃癌病例和10914例无癌对照),并基于遗传关联研究结果构建了中国人群胃癌多基因遗传风险评分(Polygenic Risk Score,PRS)模型;在此基础上,应用中国慢性病前瞻性研究队列(China Kadoorie Biobank,CKB)的10余万例研究对象前瞻性评估了PRS与胃癌发病风险的关系,并系统探讨了健康生活方式在不同遗传负荷的情况下对胃癌的保护效果。
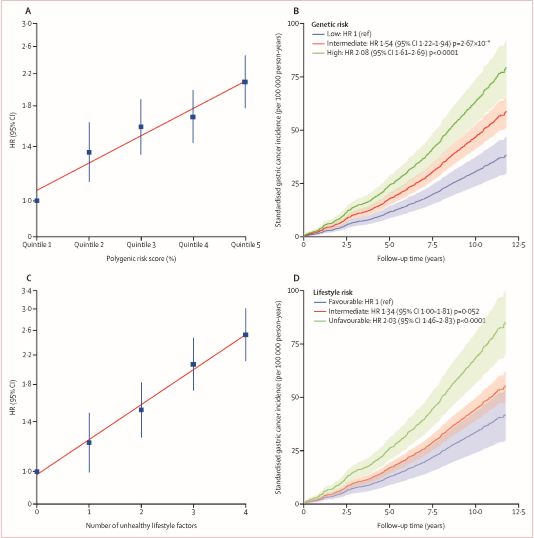
研究发现中国人群胃癌多基因遗传风险评分PRS-112与胃癌发病风险与胃癌发病风险呈线性关联。根据PRS-112的五分位间距将研究对象分为Q1-Q5五类,随着遗传负荷的增加,个体罹患胃癌的风险显著增高,并呈剂量-反应关系(图1A)。当以Q1、Q2-Q4、Q5分别定义低、中、高遗传风险人群时,我们发现三个人群胃癌累计标化发病率存在显著差异,高风险人群胃癌发病率是低风险人群的2.08倍(HR=2.08, 95% CI: 1.61-2.69)(图1B)。
在CKB队列中,根据4种生活习惯定义了健康生活方式,包括不吸烟(不吸烟或戒烟15年以上)、不饮酒、少吃腌制蔬菜(<4天/周)、多吃新鲜水果蔬菜(每天吃新鲜蔬菜并且每周吃新鲜水果>4天,或者每天吃新鲜水果并且每周吃新鲜蔬菜>4天)。随着不健康生活因素的增加,个体罹患胃癌的风险显著增加,并呈现剂量-反应关系(图1C)。根据个体拥有健康生活方式的个数将人群分为健康(4种健康生活方式)、中等(2-3种健康生活方式)以及不健康(0-1种健康生活方式)三类人群,与坚持健康生活方式的人群相比,中等及不健康生活方式的人群发生胃癌的风险分别增加了34%(HR=1.34, 95%CI:1.00-1.81)和103%(HR=2.03, 95%CI:1.46-2.83)(图1D),这一效应几乎不受遗传负荷影响,也不影响遗传效应,体现了二者在胃癌发生过程中的独立效应。

图1.遗传负荷及生活方式与胃癌发病风险的前瞻性评价
研究发现生活方式与遗传负荷之间不存在交互作用(P=0.451),但存在联合效应,即个体罹患胃癌的风险随着研究对象遗传风险和不良生活方式的增加而显著增加(图2)。在不同遗传风险人群中,采取健康生活方式均可显著降低胃癌发病风险。在遗传高风险人群中,与采取不健康生活方式的人群相比,坚持健康生活方式者胃癌发病风险降低了47%(HR=0.53,95%CI: 0.29-0.99)。

图2.遗传负荷与生活方式在胃癌发生中的联合效应
本研究是迄今为止最大的胃癌全基因组整合分析,也是首次应用大规模前瞻性队列评价多基因遗传风险评分PRS在胃癌发病风险预测及潜在预防应用中的效果。研究结果可帮助提高大众对于胃癌遗传风险和健康生活方式的认识,对促进胃癌PRS应用于我国胃癌高危人群鉴别,有目标的开展胃癌一级预防(健康生活方式和H. pylori根治)和二级预防(内镜筛查)具有指导意义。
本研究获得国家重点研发计划、国家自然科学基金等多项资助,沈洪兵教授、李立明教授、魏庆义教授、靳光付教授为本文的Joint Last Author。
时间:2020年9月
刊物:The Lancet Oncology
标题:Genetic risk, incident gastric cancer, and healthy lifestyle: a meta-analysis of genome-wide association studies and prospective cohort study
原文链接:https://www.sciencedirect.com/science/article/pii/S1470204520304605?dgcid=author
相关知识
Cell Metabolism:遗传风险、生活方式及其相互作用与肥胖和肥胖相关发病率的关联
这四种癌症需要注意家族遗传风险!
癌症遗传:家族病史下的风险密码与科学防护策略
慢性病与生活方式和遗传因素的关系
癌症遗传的概率有多大?研究发现:做好这8点,患癌风险大大降低!
《健康生活方式可显著降低遗传性早逝风险,研究显示》
不良生活习惯致中青年人群胃癌高发
BMC Medicine: 健康生活方式降低癌症和心脏代谢疾病的多发病风险
曾一度被称为“广东癌”!有遗传性!长期食腊味有诱发它的风险→
癌症会传染吗?会遗传吗?“家族癌”到底是怎么发生的?家庭健康必须收藏
网址: 中国人群遗传负荷、健康生活方式与胃癌发病风险新发现 https://www.trfsz.com/newsview1371564.html
推荐资讯
- 1发朋友圈对老公彻底失望的心情 12775
- 2BMI体重指数计算公式是什么 11235
- 3补肾吃什么 补肾最佳食物推荐 11199
- 4性生活姿势有哪些 盘点夫妻性 10428
- 5BMI正常值范围一般是多少? 10137
- 6在线基础代谢率(BMR)计算 9652
- 7一边做饭一边躁狂怎么办 9138
- 8从出汗看健康 出汗透露你的健 9063
- 9早上怎么喝水最健康? 8613
- 10五大原因危害女性健康 如何保 7828
