协同改性膳食纤维的方法及其在食品加工中的应用研究进展
摘 要 膳食纤维是由10个及以上吡喃葡糖基通过β-1,4糖苷键连接而成的线性多糖,主要来源于果蔬、谷类、豆制品及农副产物。膳食纤维可作为肠道益生菌的发酵底物,帮助微生物群平衡生长并发挥健康效应。然而,有序的构象结构使膳食纤维存在溶解度低、界面稳定性差、口感粗糙等共性问题,不利于其衍生食品的创制。因此,分子改性技术成为了调控膳食纤维结构及理化性质的重要方法。相比单一技术,多技术的协同处理在提升膳食纤维改性效率及功能适用性方面更具优势。基于此,该文重点综述了膳食纤维的协同改性方法及功能性应用,旨在为富含膳食纤维植物及其副产物的高值化加工提供理论依据和技术支撑。
膳食纤维是一种不能够被人体消化和吸收的碳水化合物,富含于果蔬、谷物、豆类、薯类等农产品[1]。经研究证明,适量摄入膳食纤维可通过促进肠道内拟杆菌门、厚壁菌门、双歧杆菌等益生菌的发酵利用及增殖,提高人体谷氨酸、短链脂肪酸和酮体水平,进而改善肠道微生态环境及代谢功能[2-4]。可溶性膳食纤维作为人体血糖和脂质代谢的重要调节剂,不仅可降低淀粉酶对富含膳食纤维食物的水解作用,还能阻碍葡萄糖的扩散及肠道吸附[5]。流行病学调查显示,膳食纤维摄入后可延长食物在人肠道中停留的时间,以减少肠道对脂肪的吸收[6]。由此可见,高纤的饮食习惯能有效预防结肠癌、冠心病、高血压、糖尿病等诸多慢性病[7]。由于天然膳食纤维溶解性差且持水力弱,其衍生食品一般存在组织化程度低、结构松散、口感粗糙等品质问题,这限制了膳食纤维在食品加工中的拓展应用[8]。此外,农副产品作为提取膳食纤维的主要来源,在加工过程中大多被丢弃而造成资源浪费。因此,如何合理改性膳食纤维并对其衍生食品进行功能设计与优化,是提高农副产品膳食纤维高值化利用水平的关键问题。
预改性技术是调控食品分子结构及功能的重要方法,其原理是通过物理、化学、生物等方法破坏天然分子链的有序结构,促进在游离体系中同源或异源分子间的相互作用,进而实现对分子构象的修饰与转化[9]。目前,膳食纤维的改性方法有三类:物理改性、化学改性和生物酶法改性。物理改性方法重点是通过外施加的机械力、热压、剪切、电磁等物理作用方式可控破坏膳食纤维的糖苷键,以帮助不同分子链间的交联与重排[10]。化学改性方法则是利用分子聚合反应改变膳食纤维结构中的原子种类、基团分布及结合方式,由此高效提升膳食纤维的结构稳定性及功能适用性。然而,化学改性过程总会不可避免地引入有害化学基团而造成安全隐患及环境污染等问题[11]。相比之下,生物酶法的改性效果显著且环境条件温和,适用于一般食品分子反应催化及工艺优化。但对于一些结构紧密且稳定的食品分子材料,酶的渗透及反应效率可能会受到不同程度的影响和限制,甚至在多变环境下难以维持酶的高活力状态。现阶段,单一改性技术方法仍不能满足特定食品材料或加工的目标需求。作为一种多技术集成的替代改性手段,协同处理方式可基于各技术优势及加工要求,灵活设计工艺流程及技术配合,构建集成化、智能化、连续化的高效生产体系。
基于此,本文重点综述了关于协同改性方法对膳食纤维组成、结构、理化性质的影响以及改性膳食纤维在食品加工中的功能性应用,以期为膳食纤维高值化加工提供理论依据及技术支撑。
1 膳食纤维的分类及组成
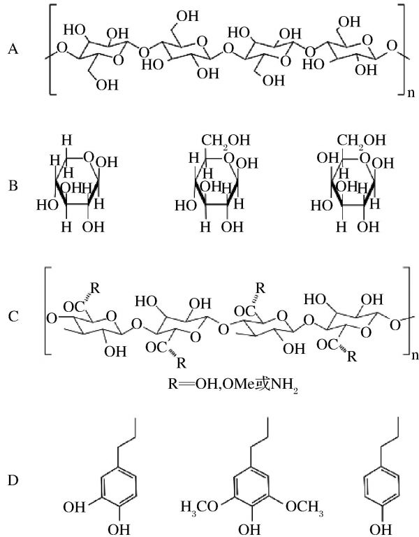
膳食纤维主要存在于植物细胞壁中,由纤维素、半纤维素、果胶及木质素等多糖组成,化学结构如图1所示。细胞壁多糖通过分子间相互作用形成超分子网络聚合物(图2),且该网状基质结构为细胞壁的分层组织提供了基础[12]。膳食纤维是由吡喃葡糖基通过β-1, 4糖苷键连接而成的线性多糖,呈延伸的长链无分支结构。纤维素和其他多糖分子通过氢键和疏水相互作用进行排列和聚集,形成类似网络的基质结构。

A-纤维素;B-半纤维素;C-果胶;D-木质素
图1 膳食纤维素化学结构图
Fig.1 Chemical structure of dietary fiber

图2 植物原生细胞壁结构[13]
Fig.2 The primary cell wall structure of plants
膳食纤维的结构形态大多不规则,且表面存在孔隙和褶皱,呈疏松多孔的蜂窝网状结构。膳食纤维侧链结构中含有羟基、羧基及氨基等具有较强阳离子交换能力的基团,可与铅、汞、砷等重金属离子进行可逆交换,这可降低它们对人体的不利影响[13]。此外,膳食纤维中的亲水基团能与水分子缔合形成氢键,使其具有一定的持水性。根据膳食纤维的水溶性,可将其分为可溶性膳食纤维(soluble dietary fiber,SDF)和不溶性膳食纤维(insoluble dietary fiber,IDF)。此外,根据提取来源,膳食纤维可分为天然和合成两大类。天然类膳食纤维又可分为植物类膳食纤维﹑动物类膳食纤维﹑微生物类膳食纤维。合成类膳食纤维主要是采用天然纤维素通过化学手段合成的[14]。
2 膳食纤维的协同改性方法
协同改性膳食纤维是联合2种或2种以上技术方法对膳食纤维多级结构进行合理修饰,并基于非共价相互作用调控膳食纤维结晶、分子形态及功能特性[15]。当前,协同改性由物理、化学及生物改性技术的交叉联合方法为主,重点包括物理-物理改性,物理-化学改性,物理-生物改性以及生物-生物改性。
2.1 物理-物理协同改性
物理-物理联合改性技术是采用2种及以上物理方法相结合,利用高温、高压、瞬时减压、爆炸、高速剪切等机械方法破坏原有的纤维结构,使分子处于无序状态,并在冷却过程中实现构象的有序转变,重塑形成新的结构排列,从而达到改性目的[16]。当前,物理改性技术分为热处理和非热处理手段(表1)。ULLAH等[17]探究湿磨过程中热处理对豆渣不溶性膳食纤维物理化性质的影响,并发现热预处理不仅提高了不溶性膳食纤维在湿磨过程中的粉碎效率,还降低了纤维直径。随着热处理温度升高,纤维结构内部的分子缠结被打开,并允许更多水分子通过氢键或偶极子的作用形式与对应基团发生反应,进而提高纤维持水能力及溶胀性。QIAO等[18]探究了挤压温度对米糠可溶性膳食纤维胆酸盐吸附能力的影响。结果发现,挤压后可溶性膳食纤维的胆酸盐吸附能力要明显高于未经挤压的膳食纤维,这可能与改性后膳食纤维的粒径大小、结构排列及理化性质有关。BADER等[19]对大麦膳食纤维进行压力蒸煮及干燥协同方式干湿热处理,发现单一蒸煮处理对大麦可溶性膳食纤维含量无显著影响,而通过协调压力蒸煮处理可显著提高可溶性膳食纤维得率。唐小闲等[20]发现超声波产生的空化效应与微波振荡协同的能量传输对分子扩散和交联有显著的促进作用,由其改性的莲藕膳食纤维得率比单一使用超声波或微波高3~4倍。何国菊等[21]联合超微粉碎和短时微波技术对马铃薯渣膳食纤维进行改性提取,发现在最佳处理条件(微波功率为650 W,处理时间为4 min)下马铃薯渣的可溶性膳食纤维得率比未处理组提高了10%。也有研究通过采用挤压-超微粉碎协同方法提取猕猴桃可溶性膳食纤维,发现所提取的纤维量会随着挤压喂水量的增加而降低。这一结果很可能是因为在高水分含量下物料的流动性变强,从而减小了高压剪切对熔体的作用时间及可溶膳食纤维的溶出量。GAN等[22]分别采用微波-氢氧化钠、微波-酶法、超声波辅助微波3种技术方法对西柚皮进行改性处理,发现改性后膳食纤维的分子质量、结晶度和热稳定性均有提高。并且,超声波辅助微波改性的可溶性膳食纤维对水、油、胆固醇、葡萄糖和亚硝酸盐离子的结合能力要明显高于其他处理组,这可能是因为在超声波-微波协同作用下可溶性膳食纤维的比表面积增加且形成多孔结构,这有利于其吸附更多的胆固醇、葡萄糖及其他离子。付晓康等[23]通过蒸汽爆破-超微粉碎技术对米糠膳食纤维进行加工处理,发现经协同改性后膳食纤维暴露出更多的羟基和羧基侧链基团,这增强了其阳离子交换能力及与同相食品分子间的相互作用。事实上,物理协同改性不仅可影响膳食纤维多尺度结构及功能特性,也对其生物学效应起着重要的调节作用。苏玉[24]探究了蒸汽爆破-超微粉碎处理的改性米糠纤维对Ⅱ型糖尿病小鼠血糖水平的影响。结果发现,物理协同改性处有效提高了膳食纤维对葡萄糖的吸附能力。此外,适量摄入米糠纤维显著降低了小鼠血脂水平,并减少了由高糖高脂饮食造成的肝脏组织病变和胰腺组织坏死,两者均有效缓解了小鼠Ⅱ型糖尿病症状。由此可见,经物理协同改性的膳食纤维具有更好的理化性质及生物学特性,且其有潜力作为功能性配料用于高纤营养食品的创制。
表1 物理-物理协同改性方法对膳食纤维理化性质的影响
Table 1 Effects of physical-physical synergistic modification methods on the physicochemical properties of dietary fiber

材料改性手段改性条件理化性质变化参考文献豆渣湿磨热预处理温度:120 ℃;时间:6 h保水能力和溶胀能力有所提高[17]米糠干湿热处理螺杆转速:250 r/min;物料水分:17%;挤出温度:100 ℃改性后,膳食纤维颗粒尺寸越小,胆汁酸吸附能力越强[18]大麦干湿热处理在9.8×104 Pa压力下蒸煮10 min压力蒸煮可提高可溶性膳食纤维与不可溶性膳食纤维的比值[19]莲藕超声波-微波超声波功率:300 W;超声时间:15 min超声波和微波产生协同作用,引起细胞分子电磁震荡,膳食纤维表层结构被破坏[19]马铃薯渣超微粉碎-微波微波功率:600 W;时间:4 min最优条件下,可溶性膳食纤维的得率为47.6%[21]
2.2 物理-生物协同改性
物理-生物协同改性是一种基于生物酶水解的物理改性技术。该方法首先通过热或非热处理手段破坏膳食纤维天然结构,帮助分子链展开及表面功能基团暴露的同时,提高单一酶法对目标活性基团的水解效率(表2)。汪楠等[25]试验比较了高温蒸煮和纤维素酶-高温蒸煮协同改性对竹笋膳食纤维理化性质的影响,发现协同改性后竹笋膳食纤维粒径要明显小于单一蒸煮处理的样品,且持油能力及热稳定性均有一定程度地提升。此外,有研究发现,采用高温蒸煮协同酶法对茶膳食纤维进行改性,有效提高了膳食纤维的酶水解抗性,并降低了其模拟餐后的血糖水平,这进一步说明了协同改性不仅能改变膳食纤维的结构组成,还能针对性改善其功能特性[26]。刘鸿铖等[27]结合利用热熔挤压和生物酶解改性处理绿豆皮膳食纤维,发现改性后膳食纤维表面出现多层褶皱的疏松网状结构,且与对照组相比,协同改性后膳食纤维阳离子交换能力提高了6.98倍。SONG等[28]采用挤压与纤维素酶协同改性竹笋膳食纤维,可溶性膳食纤维含量提高了22.17 g/100 g。改性后可溶性膳食纤维结构改变,通过红外光谱图可知,竹笋膳食纤维总体的吸收峰强及峰宽均降低,同时在1 626 cm-1、1 510 cm-1和1 384 cm-1处的吸收峰强度也减小,这可能是在挤压-酶改性过程中产生了更多的羰基和酯类物质或木质素降解所致。因此,挤压-纤维素酶处理可以降解膳食纤维中的木质素,使得半纤维素的含量增加。与热挤压技术不同,ZHANG等[29]系统比较了木聚糖酶-纤维素酶、超声波改性、超声波-酶处理3种改性条件对茶籽膳食纤维的影响,其指出超声波空化效应降低了纤维的颗粒尺寸,并增大了纤维与酶的接触面积,这是提高纤维的葡萄糖吸附能力和乳化稳定性的主要原因。此外,超声波-酶处理还有助于增强膳食纤维的抗氧化活性。吴俊男等[30]采用超声波-酶法对小麦膳食纤维进行改性,结果发现经超声波-酶法处理后膳食纤维自由基清除能力明显提高,尤其当酶添加量为1.5%时效果最佳。邢坷慧等[31]采用超微粉碎技术与纤维素酶联合改性红枣果渣的膳食纤维,发现通过超微粉碎处理后的样品再经纤维素酶水解,可有效提高可溶性膳食纤维得率,约7.46%。WEN等[32]也采取超微粉碎辅助酶法改性米糠膳食纤维,发现微粉化处理会破坏纤维的晶体结构,并降低纤维结晶度、持水持油能力。有趣的是,这一过程会增加纤维对胆固醇的吸附能力。除上述提及的挤压、超声波和粉碎技术外,微波预处理在膳食纤维改性中的应用也受到广泛关注。PENG等[33]采用微波协同酶法处理西柚皮不溶性膳食纤维,结果发现微波所产生电磁波可破坏细胞壁并释放酚类物质,不溶性酚类物质与木聚糖等细胞壁成分的酯键和醚键结合,使膳食纤维在酶解后具有较强的抗氧化能力。上述研究结果说明了物理与生物改性的技术协同在食品加工中的应用潜能,为果蔬、食用菌及其他农副产品的膳食纤维高值化加工和综合利用提供了技术方向。
表2 物理-生物协同改性方法对膳食纤维理化性质的影响
Table 2 Effects of physical-biological synergistic modification methods on the physicochemical properties of dietary fiber

材料改性手段改性条件理化性质变化参考文献竹笋高温蒸煮协同纤维素酶改性纤维素酶、木瓜蛋白酶、高温蒸煮改性后,膳食纤维的色泽变暗,出现明显褐变[25]茶高温蒸煮协同酶法温度:124 ℃;纤维素酶量:557 mg/100 mL改性后的茶纤维对α-淀粉酶的抑制作用与阿卡波糖相似,可削弱α-淀粉酶水解淀粉分子的能力,减慢消化速度,降低餐后血糖水平[26]绿豆皮挤出-酶解协同改性挤出温度:160 ℃;料液比1∶25;纤维素酶添加量:0.8%改性后膳食纤维的持水力和持油力提高了1.46倍、1.15倍[27]竹笋挤出-酶解协同改性pH 4.5;酶解温度:50 ℃;酶解时间:4 h挤压-酶处理可降解竹笋膳食纤维中的木质素,增加半纤维素的含量[28]茶籽超声波-酶处理超声波功率:640 W;时间:20 min;增加了纤维表面结构的孔隙率、吸附能力、乳化稳定性[29]小麦麸皮超声波-酶法超声波功率360 W;酶添加量1.5%;酶处理时间:20 min自由基清除率随着酶添加量的增加、先升高后降低,改性后的样品自由基清除能力较未改性的样品有所提高[30]枣渣超微粉碎协同纤维素酶改性超微粉碎10 s、纤维素酶添加量0.34%采用协同改性获得的膳食纤维得率为15.47%[31]米糠超微粉碎辅助酶法微粉化、木聚糖酶、纤维素酶微粉化会破坏晶体结构、降低纤维的结晶度[32]西柚皮微波-酶协同改性微波功率:600 W,时间:37 min,酶添加量为8%改性后纤维抗氧化活性增加[33]
2.3 物理-化学协同改性
由于膳食纤维结构稳定且分子排列紧密,其通常在多元体系中不易与其他分子发生相互作用或反应。因此,通过采用物理改性技术对膳食纤维原料进行预处理,可使其分子链结构解聚和展开的同时,促进结构内部基团与外部活性分子的表面接触,从而加快其随后的化学反应(改性)效率[16](表3)。麦馨允等[34]采用单因素与正交试验方法,系统研究了超声波辅助酸法对提取蕨菜中水溶性膳食纤维的影响。结果表明,改性后可溶性膳食纤维比未处理样品提高了近4倍,这与超声波所引起的机械、热或空化效应密切相关,因为这些物理作用能够有效地破坏细胞壁结构,促进酸解反应下水溶性膳食纤维的提取。陈致印等[35]探究了超声波辅助酸法对甘薯渣不溶性膳食纤维改性效果的影响,改性后不溶性膳食纤维的持水力由0.17 g/g提高至1.14 g/g,这可能是因为超声空穴效应所产生的瞬时高压不断破碎物料,使其形成粒径更小的单体,并增大了比表面积,由此导致颗粒结构表面暴露出更多亲水基团,增加了纤维的持水力。王俊颖等[36]在使用超声波辅助酸法制备玉米皮水溶性膳食纤维的研究中发现柠檬酸添加量较低时,可促进水溶性膳食纤维分子溶出。但随着用酸浓度的升高,膳食纤维得率反而降低。近年来,蒸汽爆破技术作为一种新型绿色食品加工技术,因具有短时高效、适用性强、无污染等优点,在食品领域引起了广泛关注[37]。通过对比蒸汽爆破-超声波、蒸汽爆破-碱处理、蒸汽爆破-酶3种协同改性方法,总结发现蒸汽爆破-碱处理对青稞麸皮膳食纤维改性效果最佳,这主要是由于麸皮细胞壁在碱性环境中被充分破坏,能够促进膳食可溶性成分的溶解[38]。同样,微波辅助碱性处理也能够促进甘蔗渣中木质素和纤维素组分交联键内的碱性水解,以此提高纤维素的可提取含量[39]。在改性膳食纤维功能性质方面,闫荣玲等[40]通过微波辅助碱法对柚皮膳食纤维进行改性处理,并对比改性前后膳食纤维对油脂氧化进程的影响。结果发现,经协同改性处理后柚皮膳食纤维中含有更多黄酮类、多酚类、苷类等抗氧化活性的物质,这不仅降低了油样的过氧化值,还减缓了油脂的氧化进程。尽管物理-化学协同技术具有改性效率高、萃取率高、操作便捷等优点,但其对食品基质的破坏程度较大,可显著影响纤维素与半纤维素增溶部分的酯键,促使改性膳食纤维官能团完全断裂,导致部分功能性或益生成分的不可逆损失。此外,化学改性处理也易对食品原料及其衍生产品造成无法预估的安全性问题,这也进一步限制了该技术的应用与发展。
表3 物理-化学协同改性方法对膳食纤维理化性质的影响
Table 3 Effects of physical-chemical synergistic modification methods on the physicochemical properties of dietary fiber

材料改性手段改性条件理化性质变化参考文献蕨菜超声波辅助酸法时间:60 min;料液比1∶19;超声功率180 W;温度:60 ℃改性后,具有较高的乳化性、持水性、持泡性[34]甘薯渣超声波辅助酸法超声波功率:100 W;时间:2 h;温度:55 ℃;添加3%柠檬酸改性后,颗粒尺寸减小,结构更加致密,吸附亚硝酸盐和胆汁酸的能力有所增强[35]玉米皮超声波辅助酸法超声波功率:210 W;时间:20 min;4%柠檬酸添加量研究发现,柠檬酸添加量较低时,会促进SDF分子溶出,随着酸浓度的增加,SDF分子可能降解,形成的小分子部分无法被乙醇沉淀完全,使得SDF得率下降[36]青稞麸皮蒸汽爆破-酸处理、蒸汽爆破-碱处理压力:1.5 MPa;时间:90 s;添加1%柠檬酸;添加1%氢氧化钠;温度:50 ℃;时间:2 h酸处理会提高膳食纤维的结晶指数,但协同碱处理的结晶指数最低,可能是由半纤维素的溶解引起的[38]甘蔗渣微波辅助碱法微波功率:600 W;时间:5 min;改性后的膳食纤维堆积密度增加,可能是由于碱的渗透使得纤维细胞壁变得致密,从而提高了堆积密度[39]柚皮微波辅助碱法微波功率:350 W;时间:40 min;碱液质量分数:8%改性后膳食纤维抑制油脂氧化能力和抗氧化活性均有所改善[40]
2.4 生物-生物协同改性
复合酶协同改性具有专一性、高特异性、环境友好等优点,能够高效精准定位膳食纤维的β-1,4糖苷键,将其长链分子剪切为多个小分子。单一酶处理技术仅局限于水解某一组分,而复合酶联合改性处理可同时作用于多种化学键,加快酶水解效率。有研究发现,木聚糖酶和纤维素酶可破坏纤维素和半纤维素结构中的β-糖苷键,并使其暴露出更多与水分子的结合位点,从而提高膳食纤维的持水力(表4)。YU等[41]发现纤维素酶-木聚糖酶协同改性可将胡萝卜膳食纤维含量提高至原含量的7.3倍。此外,纤维素酶和木聚糖酶协同预处理马铃薯膳食纤维,可加强其胆酸钠结合能力以及清除羟自由基的活性功能,且联合改性效果优于单酶处理组[42]。同样,王佳等[43]研究单一酶和复合酶对竹笋膳食纤维改性的影响,发现在pH 5.0、纤维素酶添加量180 U/g、木聚糖酶添加量90 U/g的条件下,竹笋膳食纤维改性效果最佳且得率为12.1%。常相娜等[44]采用纤维素酶和果胶酶复合改性苹果果渣,发现随着果胶酶用量持续增加,SDF含量高达16.84%,这可能与果胶部分被酶解溶出后有更多基团与体系接触,进而提高了酶解速率。ZHANG等[45]对比复合酶法和超微粉碎改性麦麸膳食纤维的效果,并对2种改性后的膳食纤维进行抗氧化活性测定,发现经超微粉碎改性的膳食纤维对DPPH自由基清除能力最强,是未处理样品的3.44倍。然而,ZHENG等[46]发现复合酶解改性技术对小米膳食纤维体外降血糖性能的影响显著。经纤维素酶水解所获得的膳食纤维具有较高的葡萄糖扩散阻滞指数(39.60%)和α-淀粉酶抑制活性(34.53%),这可能是由于酶处理后膳食纤维所形成的蜂窝表面结构能够阻滞葡萄糖扩散,进而达到降血糖的目的。除了通过复合酶改性,还有少部分研究采取菌种发酵对膳食纤维进行改性。李伟伟等[47]研究发现多菌种的协同发酵比单一菌种效果更好,且以黑曲霉协同乳酸菌发酵所获的膳食纤维具有粒径小、比表面积大、持水性强、口感细腻等优点。由此可见,发酵改性手段可进一步提升豆渣纤维的理化性质及感官品质。CHU等[48]对米糠膳食纤维进行纳豆芽孢杆菌发酵改性处理,结果发现经纳豆发酵后可溶性膳食纤维含量由2.3%提高到13.2%。并且,在低pH时发酵改性的膳食纤维能与亚硝酸盐高效结合,这可能是由于发酵过程中所产生的某些物质促进了纤维质与亚硝酸离子反应,使改性后膳食纤维具有较高的亚硝酸盐吸附能力。LIN等[49]利用乳酸菌与神经孢子菌协同发酵对豆渣膳食纤维进行改性处理,发现协同发酵改性后的膳食纤维对α-淀粉酶活性的抑制率由9.55%提高到20.92%,并指出协同发酵处理的膳食纤维可显著影响其餐后的血糖指数。但也有研究认为菌种发酵所需时间过长,当接种量较少时,短时间内膳食纤维改性效果并不显著[50]。目前,将不同微生物组合对膳食纤维进行改性仍是一个难题,要求充分考虑到2株共发酵菌株时的竞争与相互抑制作用,以及针对不同微生物生长需求的培养条件[50]。
表4 生物-生物协同改性方法及膳食纤维理化性质变化
Table 4 Combined bio-biological modification methods and changes in dietary fiber properties

材料改性手段改性条件理化性质变化参考文献胡萝卜复合酶改性纤维素酶:90 U/g;木聚糖酶:48 U/g;温度:50 ℃;时间:2.5 h酶解暴露了大量极性基团和非极性基团,显著提高了膳食纤维得持水力、持油力、膨胀力等[41]马铃薯纤维素酶-木聚糖酶协同改性纤维素酶:20 U/g;木聚糖酶:30 U/g;温度:50 ℃比较不同样品的分子质量、水溶性、葡萄糖透析阻滞指数、胆酸钠吸附能力、自由基清除能力[42]竹笋纤维素酶和木聚糖酶纤维素酶:180 U/g;木聚糖酶:90 U/g;温度:50 ℃;时间:2 h在酶解液中添加纤维素酶和木聚糖酶,酶解时间为2 h,pH=5.0,改性效果最佳[43]苹果渣复合酶改性纤维素酶20 U/g;果胶酶80 U/g;时间:5.5 h;pH:5.1;温度:44 ℃最优条件下,SDF的最佳得率:16.84%[44]麦麸复合酶纤维素酶:0.15 g;木聚糖酶:0.15 g;温度:55 ℃;时间:2 h经复合酶改性后,膳食纤维自由基清除能力变化不明显[45]小米纤维素酶处理改性后的纤维具有较高的葡萄糖扩散阻滞指数和α-淀粉酶抑制活性[46]
3 改性膳食纤维的功能性应用
改性膳食纤维的适量添加可有效改善食品的黏度、质地、流变特性及产品感官特征,因而广泛应用于肉制品、乳制品和烘焙制品等食品加工过程,并充当增稠剂、乳化剂、稳定剂等功能性添加剂。
3.1 增稠作用
通过对柑橘和苹果等果蔬类原料适当改性处理,由其所提取的果胶可用作为糖化混合物及弱凝胶制品等的黏度增强剂。水果加工的过程中有75%果胶可以保留下来,其中低脂果胶可制作果酱、乳酪、乳品和糕点等[51];高脂果胶可在果冻和酸性糖果芯、重组果汁类产品等当中运用,均可获得较好的效果。FAN等[52]研究了不同枸杞膳食纤维添加量对酸奶脱水效果的影响,与对照组相比,添加2%枸杞膳食纤维的酸奶脱水率从43.89%降低至21.22%,可能是由于枸杞膳食纤维中的多糖和果糖与酪蛋白相互作用,形成良好的凝胶网络结构。粗纤维可以为酸奶提供支架,强化结构并提高表观黏度,而细纤维可以作为填料以填充酪蛋白结构[53]。KIESERLING等[54]发现单一改性后的膳食纤维网络结构可增强乳制品的凝胶特性,从而提高酸奶的黏稠性和稳定性。DONG等[55]在酸奶中加入经超声波-微波协同处理的可溶性膳食纤维,使得酸奶的黏度、稠度、pH值等指数增加;与其他酸奶相比表现出更高的稳定性。还有研究学者在酸奶中添加协同改性后的胡萝卜膳食纤维,发现酸奶的凝胶黏弹性有所增加[56],由此可见,改性膳食纤维可作为一种功能性食品添加剂(如胶凝剂、持水剂、增稠剂等),用于改善目标产品的持水性、黏弹性、稳定性。
3.2 乳化作用
改性后膳食纤维可添加至植物蛋白饮料、可可制品、冰淇淋等食品中可作为乳化剂,帮助稳定油水两相体系,使分散相形成小液滴[57]。HUANG等[58]采用高压均质处理橙子纤维,发现高压均质处理后的乳液油滴分布均匀,橙浆对油滴的聚结和相分离具有良好的稳定作用,并证实了橙子纤维主要通过空间效应和静电斥力增强乳液的稳定性。预改性处理后柑橘纤维的粒径减小,比表面积增大,均有利于提高乳液的黏弹性和稳定性。ZHENG等[59]研究了热处理联合酶解对棕榈仁膳食纤维结构和理化性能的影响。研究表明,经热处理-酶协同改性处理,棕榈仁膳食纤维分子的总电荷密度增加,乳液液滴之间相互排斥作用增强,乳液稳定性升高。BAO等[60]采用马氏酵母菌对豆渣不溶性膳食纤维进行发酵改性,改性后豆渣不溶性膳食纤维网络结构致密,孔隙率更高,体积密度更低。改性豆渣不溶性膳食纤维的Zeta电位绝对值有显著增加(P<0.01),静电相互作用增强,有助于形成均匀、稳定的乳液。因此,改性后豆渣不溶性膳食纤维是稳定皮克林乳状液的极具潜力的颗粒,这为开发以大豆不溶性膳食纤维为基础的皮克林乳化剂提供了新的思路。
3.3 抗氧化作用
膳食纤维的抗氧化活性与其分子质量、单糖种类、糖醛酸含量、供氢能力以及糖苷键的数量有关。QIAO等[18]通过评估米糠膳食纤维的体外自由基清除能力,发现经挤出-蒸煮联合改性的米糠膳食纤维的抗氧化活性比未膨化米糠高6.35%,这可能是协同改性后膳食纤维中含有糖醛酸可活化异头碳的氢原子,可与自由基结合而终止自由基反应,最终实现抗氧化效果。杨振寰[61]探究了在高压均质和酶解处理下竹笋膳食纤维抗氧化能力的差异变化,发现改性后膳食纤维的抗氧化活性有一定提升。由于雷笋膳食纤维结构致密,许多酚类物质被包裹在膳食纤维结构内部。因此,在高压均质作用下酚类物质会主动释放并显著提高酚类物质的溶出量。此外,纤维素酶和木聚糖酶对细胞壁的降解作用也有利于酚类物质的进一步溶出,共同提高膳食纤维抗氧化活性。ZHANG等[45]通过对比不同改性技术处理麦麸不溶性膳食纤维,发现经超微粉碎及复合酶改性的样品总还原能力均有所提高,分别是未改性膳食纤维的1.8倍和2.8倍,说明协同改性处理对改善麦麸膳食纤维抗氧化能力要明显优于单一改性技术。许多文献报道,部分果皮中改性膳食纤维的抗氧化性比传统合成抗氧化剂要高,但将其运用于食品加工中的却较少。若能将其作为一种天然功能性添加剂应用于食品工业中,既能丰富我国天然食品抗氧化剂的来源,又能促进农副产品的高值化利用。
3.4 膨松剂
面制品的膨松状态与加工过程中面筋结构密切有关,因为面粉蛋白的化学变化及分子相互作用决定着面团的加工属性及成型后的质地[62]。HUANG等[63]以淀粉为原料制备水溶性膳食纤维糊精并探究了其对面包品质特性的影响。结果表明,添加水溶性膳食纤维糊精后面团更易于形成凝胶网络结构,且黏弹性适中,表面平整光滑。TSATSARAGKOU等[64]发现膳食纤维的高持水性对面包品质也存在一定的负面影响,因为高水合力可能会导致面糊黏度较高,并阻止气体膨胀,进而生产出感官评价低的面包制品。尽管通过添加改性膳食纤维(高持水性)可防止面包在加工过程中的水分流失,但仍需根据制备条件与产品品质间的定向关联进行实时把控,否则会使面包出现口感粗糙或软榻等问题。HOANG等[65]探究配方中添加复合酶协同改性膳食纤维对饼干硬度的影响。结果表明,膳食纤维饼干断裂硬度比对照组提高了近4倍,这说明膳食纤维有利于提高面筋结构强度,使其凝胶网络稳定。因此,在面类食品加工中改性膳食纤维可用作结构改良剂或膨松剂,因为其结构含有大量活性羟基,能够与水、蛋白质、淀粉等分子发生作用,使其交叉贯穿面筋网络,进而显著改善面团的流变学特性及加工品质。
4 结语
膳食纤维组成、结构及理化性质与其应用方向密切相关,并可通过协同改性技术实现功能特性的定向调控。相较于单一的传统改性手段,联合改性可结合多种改性手段对样品进行预处理,促进大分子物质裂解成小分子物质,并暴露大量侧链基团以实现目标分子的高效提取。协同改性膳食纤维具有短时高效性、环境友好性、安全性高等优势,有利于提升膳食纤维的结构稳定性及功能适用性。将改性后的纤维加入到肉制品中代替脂肪可达到降低热量的目的,并改善肉制品的口感和质地;在冰淇淋的加工制作中,主要通过阻碍冰晶生长使冰淇淋拥有均匀光滑的口感,具有良好的抗融化性。此外,经改性的膳食纤维可应用于烘焙产品的生产中取代小麦粉,提高面团的延展性,也可作为水或油的增强剂,改善产品乳化稳定性。近年来膳食纤维在食品加工领域的应用越来越突出,开发新型功能食品对实现农副产品的增值及产业链的发展具有现实意义。以农产品副产物为目标,研发绿色高效的改性方法技术是提高膳食纤维在食品加工中的利用率及开发程度的重要方向。目前,改性膳食纤维的工业化生产及应用仍处于发展阶段,将来需进一步研究改性膳食纤维与食品成分的交互作用及其对产品品质的影响。此外,协同改性膳食纤维特性的调控机制及潜在生物功效也是未来亟需探究的重点,这可为膳食纤维多尺度改性及健康应用奠定科学基础。
参考文献
[1] GAN J P, XIE L, PENG G Y, et al. Systematic review on modification methods of dietary fiber[J]. Food Hydrocolloids, 2021, 119:106872.
[2] IQBAL S, TIRPANALAN-STABEN Ö, FRANKE K. Modification of dietary fibers to valorize the by-products of cereal, fruit and vegetable industry-a review on treatment methods[J]. Plants, 2022, 11(24):3466.
[3] JIANG Y L, ZHAO Y M, ZHU Y F, et al. Effect of dietary fiber-rich fractions on texture, thermal, water distribution, and gluten properties of frozen dough during storage[J]. Food Chemistry, 2019, 297:124902.
[4] 王津, 刘爽, 邹妍, 等. 膳食纤维和肠道微生物及相关疾病的研究进展[J]. 食品研究与开发, 2020, 41(11):201-207.
WANG J, LIU S, ZOU Y, et al. Research advances in the associations of dietary fiber with gut microbiota and related disease[J]. Food Research and Development, 2020, 41(11):201-207.
[5] BADER UL AIN H, SAEED F, AHMED A, et al. Improving the physicochemical properties of partially enhanced soluble dietary fiber through innovative techniques: A coherent review[J]. Journal of Food Processing and Preservation, 2019, 43(4): e13917.
[6] 王丽, 康晶晶. 发酵技术在膳食纤维改性中的应用[J]. 食品工业科技, 2022, 43(6):400-409.
WANG L, KANG J J. Application of fermentation technology in modification of dietary fiber[J]. Science and Technology of Food Industry, 2022, 43(6):400-409.
[7] 刘静宜, 石晓玲, 陈小爱, 等. 南瓜膳食纤维对高脂血症大鼠的降血脂作用[J]. 食品工业科技, 2021, 42(1):322-327; 333.
LIU J Y, SHI X L, CHEN X A, et al. Effect of pumpkin dietary fiber on blood lipid on hyperlipidemic rats[J]. Science and Technology of Food Industry, 2021, 42(1):322-327; 333.
[8] GARCIA-AMEZQUITA L E, TEJADA-ORTIGOZA V, SERNA-SALDIVAR S O, et al. Dietary fiber concentrates from fruit and vegetable by-products: Processing, modification, and application as functional ingredients[J]. Food and Bioprocess Technology, 2018, 11(8):1439-1463.
[9] NAGY R, MTHÉ E, CSAP J, et al. Modifying effects of physical processes on starch and dietary fiber content of foodstuffs[J]. Processes, 2020, 9(1):17.
[10] LI B, YANG W, NIE Y Y, et al. Effect of steam explosion on dietary fiber, polysaccharide, protein and physicochemical properties of okara[J]. Food Hydrocolloids, 2019, 94:48-56.
[11] LIU Y L, ZHANG H B, YI C P, et al. Chemical composition, structure, physicochemical and functional properties of rice bran dietary fiber modified by cellulase treatment[J]. Food Chemistry, 2021, 342:128352.
[12] QIN W Y, SUN L J, MIAO M, et al. Plant-sourced intrinsic dietary fiber: Physical structure and health function[J]. Trends in Food Science &Technology, 2021, 118:341-355.
[13] HU X T, ZHANG G Y, HAMAKER B R, et al. The contribution of intact structure and food processing to functionality of plant cell wall-derived dietary fiber[J]. Food Hydrocolloids, 2022, 127:107511.
[14] SPOTTI M J, CAMPANELLA O H. Functional modifications by physical treatments of dietary fibers used in food formulations[J]. Current Opinion in Food Science, 2017, 15:70-78.
[15] OUYANG H, GUO B L, HU Y, et al. Effect of ultra-high pressure treatment on structural and functional properties of dietary fiber from pomelo fruitlets[J]. Food Bioscience, 2023, 52:102436.
[16] BADER UL AIN H, SAEED F, ARSHAD M U, et al. Modification of barley dietary fiber through chemical treatments in combination with thermal treatment to improve its bioactive properties[J]. International Journal of Food Properties, 2018, 21(1):2491-2499.
[17] ULLAH I, YIN T, XIONG S B, et al. Effects of thermal pre-treatment on physicochemical properties of nano-sized okara (soybean residue) insoluble dietary fiber prepared by wet media milling[J]. Journal of Food Engineering, 2018, 237:18-26.
[18] QIAO C C, ZENG F K, WU N N, et al. Functional, physicochemical and structural properties of soluble dietary fiber from rice bran with extrusion cooking treatment[J]. Food Hydrocolloids, 2021, 121:107057.
[19] BADER UL AIN H, SAEED F, KHAN M A, et al. Modification of barley dietary fiber through thermal treatments[J]. Food Science &Nutrition, 2019, 7(5):1816-1820.
[20] 唐小闲, 邱培生, 段振华, 等. 响应面法优化超声-微波辅助提取莲藕膳食纤维工艺研究[J]. 食品研究与开发, 2019, 40(6):132-139.
TANG X X, QIU P S, DUAN Z H, et al. Optimization of ultrasonic-microwave assisted extraction of dietary fiber from Lotus root by response surface methodology[J]. Food Research and Development, 2019, 40(6):132-139.
[21] 何国菊, 常艳菊, 龙峰. 超微粉碎结合微波辅助提取马铃薯渣中可溶性膳食纤维[J]. 食品工业, 2017, 38(2):159-163.
HE G J, CHANG Y J, LONG F. Study on extracting soluble dietary fiber by phytate solution with super comminution and microwave from potato residue[J]. The Food Industry, 2017, 38(2):159-163.
[22] GAN J P, HUANG Z Y, YU Q, et al. Microwave assisted extraction with three modifications on structural and functional properties of soluble dietary fibers from grapefruit peel[J]. Food Hydrocolloids, 2020, 101:105549.
[23] 付晓康, 苏玉, 黄亮, 等. 蒸汽爆破-超微粉碎对米糠膳食纤维结构和功能性质的影响[J]. 中国粮油学报, 2020, 35(4):142-150.
FU X K, SU Y, HUANG L, et al. Effect of steam explosion-superfine pulverization on structure and functional properties of rice bran dietary fiber[J]. Journal of the Chinese Cereals and Oils Association, 2020, 35(4):142-150.
[24] 苏玉. 蒸汽爆破-超微粉碎技术对米糠膳食纤维的改性及功能性质的研究[D]. 长沙: 中南林业科技大学, 2019.
SU Y. Study on modification and functional properties of rice bran dietary fiber by steam blasting-ultramicro-crushing technology[D]. Changsha: Central South University of Forestry &Technology, 2019.
[25] 汪楠, 黄山, 张月, 等. 高温蒸煮协同纤维素酶改性竹笋膳食纤维[J]. 食品与发酵工业, 2020, 46(4):13-18.
WANG N, HUANG S, ZHANG Y, et al. Modification of bamboo shoot dietary fiber by high temperature cooking combined with cellulase[J]. Food and Fermentation Industries, 2020, 46(4):13-18.
[26] HUANG H R, CHEN J J, CHEN Y, et al. Modification of tea residue dietary fiber by high-temperature cooking assisted enzymatic method: Structural, physicochemical and functional properties[J]. LWT, 2021, 145:111314.
[27] 刘鸿铖, 樊红秀, 赵鑫, 等. 改性处理对绿豆皮膳食纤维结构及功能特性的影响[J]. 中国食品学报, 2022, 22(9):82-91.
LIU H C, FAN H X, ZHAO X, et al. Effects of modification on the structure and functional properties of dietary fiber in mung bean skin[J]. Journal of Chinese Institute of Food Science and Technology, 2022, 22(9):82-91.
[28] SONG Y, SU W, MU Y C. Modification of bamboo shoot dietary fiber by extrusion-cellulase technology and its properties[J]. International Journal of Food Properties, 2018, 21(1):1219-1232.
[29] ZHANG F F, YI W R, CAO J, et al. Microstructure characteristics of tea seed dietary fibre and its effect on cholesterol, glucose and nitrite ion adsorption capacities in vitro: A comparison study among different modifications[J]. International Journal of Food Science &Technology, 2020, 55(4):1781-1791.
[30] 吴俊男, 马森, 王晓曦, 等. 小麦麸皮膳食纤维的超声波-酶法改性研究[J]. 粮食与油脂, 2017, 30(6):22-26.
WU J N, MA S, WANG X X, et al. Study on ultrasonic-enzyme modification of dietary fiber of wheat bran[J]. Cereals &Oils, 2017, 30(6):22-26.
[31] 邢珂慧, 鲁倩茹, 邵佩兰, 等. 超微粉碎-酶法改性枣渣膳食纤维工艺优化[J]. 中国调味品, 2020, 45(10):49-53.
XING K H, LU Q R, SHAO P L, et al. The process optimization of dietary fiber of jujube residue modified by superfine pulverization and enzymatic method[J]. China Condiment, 2020, 45(10):49-53.
[32] WEN Y, NIU M, ZHANG B J, et al. Structural characteristics and functional properties of rice bran dietary fiber modified by enzymatic and enzyme-micronization treatments[J]. LWT, 2017, 75:344-351.
[33] PENG G Y, GAN J P, DONG R H, et al. Combined microwave and enzymatic treatment improve the release of insoluble bound phenolic compounds from the grapefruit peel insoluble dietary fiber[J]. LWT, 2021, 149:111905.
[34] 麦馨允, 苏仕林, 曾维标, 等. 超声波辅助酸法提取蕨菜水溶性膳食纤维[J]. 农产品加工, 2019(11):5-8.
MAI X Y, SU S L, ZENG W B, et al. Ultrasonic assisted acid extraction of soluble dietary fiber from Pteridium aquilinum[J]. Farm Products Processing, 2019(11):5-8.
[35] 陈致印, 刘伟鹏, 王盈希, 等. 三种不同改性方法对甘薯渣不溶性膳食纤维改性效果的研究[J]. 食品与发酵工业, 2021, 47(2):57-62; 69.
CHEN Z Y, LIU W P, WANG Y X, et al. Study of three different modification methods on insoluble dietary fiber in sweet potato residue[J]. Food and Fermentation Industries, 2021, 47(2):57-62; 69.
[36] 王俊颖, 翟立公, 李壮壮, 等. 超声波辅助酸法提取玉米皮中水溶性膳食纤维的工艺研究[J]. 赤峰学院学报(自然科学版), 2018, 34(8):40-42.
WANG J Y, ZHAI L G, LI Z Z, et al. Study on ultrasonic-assisted acid extraction of water-soluble dietary fiber from corn bran[J]. Journal of Chifeng University (Natural Science Edition), 2018, 34(8):40-42.
[37] MA C, NI L Y, GUO Z B, et al. Principle and application of steam explosion technology in modification of food fiber[J]. Foods, 2022, 11(21):3370.
[38] XI H H, WANG A X, QIN W Y, et al. The structural and functional properties of dietary fibre extracts obtained from highland barley bran through different steam explosion-assisted treatments[J]. Food Chemistry, 2023, 406:135025.
[39] OLADUNJOYE A O, EZIAMA S C. Effect of microwave-assisted alkaline treatment on physicochemical, functional and structural properties of hog plum (Spondias mombin L.) bagasse[J]. LWT, 2020, 132:109821.
[40] 闫荣玲, 廖阳, 毛龙毅, 等. 柚皮膳食纤维微波辅助碱法提取工艺优化及其功能特性研究[J]. 食品与机械, 2017, 33(12):143-147.
YAN R L, LIAO Y, MAO L Y, et al. Functional properties and optimization of microwave assisted alkaline extraction of dietary fiber from pomelo peel[J]. Food &Machinery, 2017, 33(12):143-147.
[41] YU G Y, BEI J, ZHAO J, et al. Modification of carrot (Daucus carota Linn. var. Sativa Hoffm.) pomace insoluble dietary fiber with complex enzyme method, ultrafine comminution, and high hydrostatic pressure[J]. Food Chemistry, 2018, 257:333-340.
[42] CHENG L, ZHANG X M, HONG Y, et al. Characterisation of physicochemical and functional properties of soluble dietary fibre from potato pulp obtained by enzyme-assisted extraction[J]. International Journal of Biological Macromolecules, 2017, 101:1004-1011.
[43] 王佳, 张颜笑, 郑炯. 酶解处理对竹笋膳食纤维理化特性的影响[J]. 食品与发酵工业, 2016, 42(9):104-108.
WANG J, ZHANG Y X, ZHENG J. Effects of enzymatic hydrolysis on the physicochemical properties of dietary fiber from bamboo shoot[J]. Food and Fermentation Industries, 2016, 42(9):104-108.
[44] 常相娜, 陈雪峰, 苏瑶. 复合酶改性苹果渣工艺的响应面法优化及其物性评价[J]. 陕西科技大学学报, 2022, 40(2):46-53.
CHANG X N, CHEN X F, SU Y. Optimization of complex enzyme modified apple pomace process by response surface methodology and evaluation of physical properties[J]. Journal of Shaanxi University of Science &Technology, 2022, 40(2):46-53.
[45] ZHANG M Y, LIAO A M, THAKUR K, et al. Modification of wheat bran insoluble dietary fiber with carboxymethylation, complex enzymatic hydrolysis and ultrafine comminution[J]. Food Chemistry, 2019, 297:124983.
[46] ZHENG Y J, XU B F, SHI P Q, et al. The influences of acetylation, hydroxypropylation, enzymatic hydrolysis and crosslinking on improved adsorption capacities and in vitro hypoglycemic properties of millet bran dietary fibre[J]. Food Chemistry, 2022, 368:130883.
[47] 李伟伟, 曲俊雅, 周才琼. 真菌及乳酸菌联合发酵对豆渣膳食纤维及理化特性的影响[J]. 食品与发酵工业, 2018, 44(11):159-166.
LI W W, QU J Y, ZHOU C Q. Effects of combined fermentation of fungi and lactic acid bacteria on dietary fiber and physicochemical properties of soybean dregs[J]. Food and Fermentation Industries, 2018, 44(11):159-166.
[48] CHU J X, ZHAO H Z, LU Z X, et al. Improved physicochemical and functional properties of dietary fiber from millet bran fermented by Bacillus natto[J]. Food Chemistry, 2019, 294:79-86.
[49] LIN D R, LONG X M, HUANG Y C, et al. Effects of microbial fermentation and microwave treatment on the composition, structural characteristics, and functional properties of modified okara dietary fiber[J]. LWT, 2020, 123:109059.
[50] TANG W, LIN X Y, WALAYAT N, et al. Dietary fiber modification: Structure, physicochemical properties, bioactivities, and application-a review[J]. Critical Reviews in Food Science and Nutrition, 2023:1-21.
[51] MESSIA M C, REALE A, MAIURO L, et al. Effects of pre-fermented wheat bran on dough and bread characteristics[J]. Journal of Cereal Science, 2016, 69:138-144.
[52] FAN X K, SHI Z H, XU J, et al. Characterization of the effects of binary probiotics and wolfberry dietary fiber on the quality of yogurt[J]. Food Chemistry, 2023, 406:135020.
[53] CHEN W P, DUIZER L, CORREDIG M, et al. Addition of soluble soybean polysaccharides to dairy products as a source of dietary fiber[J]. Journal of Food Science, 2010, 75(6): C478-C484.
[54] KIESERLING K, VU T M, DRUSCH S, et al. Impact of pectin-rich orange fibre on gel characteristics and sensory properties in lactic acid fermented yoghurt[J]. Food Hydrocolloids, 2019, 94:152-163.
[55] DONG R H, LIAO W, XIE J H, et al. Enrichment of yogurt with carrot soluble dietary fiber prepared by three physical modified treatments: Microstructure, rheology and storage stability[J]. Innovative Food Science &Emerging Technologies, 2022, 75:102901.
[56] ELLEUCH M, BEDIGIAN D, ROISEUX O, et al. Dietary fibre and fibre-rich by-products of food processing: Characterisation, technological functionality and commercial applications: A review[J]. Food Chemistry, 2011, 124(2):411-421.
[57] DOS SANTOS M, OZAKI M M, RIBEIRO W O, et al. Emulsion gels based on pork skin and dietary fibers as animal fat replacers in meat emulsions: An adding value strategy to byproducts[J]. LWT, 2020, 120:108895.
[58] HUANG L, LIU J E, ADDY M, et al. Physicochemical and emulsifying properties of orange fibers stabilized oil-in-water emulsions[J]. LWT, 2020, 133:110054.
[59] ZHENG Y J, LI Y, TIAN H L. Effects of carboxymethylation, acidic treatment, hydroxypropylation and heating combined with enzymatic hydrolysis on structural and physicochemical properties of palm kernel expeller dietary fiber[J]. LWT, 2020, 133:109909.
[60] BAO Y, XUE H Y, YUE Y, et al. Preparation and characterization of Pickering emulsions with modified okara insoluble dietary fiber[J]. Foods, 2021, 10(12):2982.
[61] 杨振寰. 雷笋膳食纤维改性及性能研究[D]. 杭州: 浙江工业大学, 2019.
YANG Z H. Study on modification and properties of dietary fiber from Phyllostachys praecox[D]. Hangzhou: Zhejiang University of Technology, 2019.
[62] BOCK J E, DAMODARAN S. Bran-induced changes in water structure and gluten conformation in model gluten dough studied by Fourier transform infrared spectroscopy[J]. Food Hydrocolloids, 2013, 31(2):146-155.
[63] HUANG Z, WANG J J, CHEN Y, et al. Effect of water-soluble dietary fiber resistant dextrin on flour and bread qualities[J]. Food Chemistry, 2020, 317:126452.
[64] TSATSARAGKOU K, PROTONOTARIOU S, MANDALA I. Structural role of fibre addition to increase knowledge of non-gluten bread[J]. Journal of Cereal Science, 2016, 67:58-67.
[65] HOANG N H, DO H H, DANG T H Y, et al. Fiber-enriched biscuits prepared with enzyme-treated corncob powder: Nutritional composition, physical properties, and sensory acceptability[J]. Journal of Food Processing and Preservation, 2022, 46(8): e16784.
相关知识
协同改性膳食纤维的方法及其在食品加工中的应用研究进展
青稞膳食纤维的改性及其应用研究
膳食纤维黏度的食欲调节作用及其研究进展
柑橘皮渣膳食纤维的特性及其在食品中的应用
柑橘纤维及其在乳制品中的应用研究进展
魔芋膳食纤维保健作用研究进展.docx
超声波在肉品加工中应用的研究进展
果蔬膳食纤维生理功能及其作用机制研究进展
茶多酚的生物活性及其在食品中的应用研究进展
改性膳食纤维果冻的配方及其制备方法
网址: 协同改性膳食纤维的方法及其在食品加工中的应用研究进展 https://www.trfsz.com/newsview1874792.html
推荐资讯
- 1发朋友圈对老公彻底失望的心情 12775
- 2BMI体重指数计算公式是什么 11235
- 3补肾吃什么 补肾最佳食物推荐 11199
- 4性生活姿势有哪些 盘点夫妻性 10428
- 5BMI正常值范围一般是多少? 10137
- 6在线基础代谢率(BMR)计算 9652
- 7一边做饭一边躁狂怎么办 9138
- 8从出汗看健康 出汗透露你的健 9063
- 9早上怎么喝水最健康? 8613
- 10五大原因危害女性健康 如何保 7828
