顶刊快看:NatMed=82.9 基于多队列改进心血管风险预测新算法开发和验证
0.前言
感谢贾博士提供材料!!!
心血管疾病(Cardiovascular Disease, CVD)是全球范围内最主要的死亡原因,2019年估计有1790万人死亡,国际指南推荐使用CVD风险预测工具来识别高风险人群,以便进行干预以降低风险。
来自英国的研究团队提出了一种新型的QR4算法,相较于传统的CVD风险预测评分系统(QRISK3、SCORE2、ASCVD)有更出色的表现,可改善个体的心血管疾病风险预测。
AI画图(核动力心脏)

0.2传统CVD风险预测评分系统
(1)QRISK3
是一种在英国广泛使用的心血管疾病风险评估工具,用于预测未来 10 年内个体患心血管疾病的风险。此模型综合考虑了多种因素,如年龄、性别、吸烟状态、血压水平以及是否患有糖尿病等。它还包括了社会经济地位和族裔背景等变量,使得预测更具个性化和精准性。
(2)SCORE2
欧洲心脏病学会推出的SCORE2(Systematic Coronary Risk Evaluation 2)是另一种流行的心血管疾病风险评估工具。它主要用于欧洲人群,评估 10 年内死于心血管疾病的风险。SCORE2 更新了先前的风险因素数据库,考虑了各国的心血管病死亡率差异。这种模型特别关注于年龄、性别、血压、胆固醇水平以及吸烟行为等基础信息。
(3)ASCVD
美国心脏协会(AHA)和美国心脏病学院(ACC)合作开发的ASCVD(Atherosclerotic Cardiovascular Disease)风险评估工具,用于预测未来 10 年内美国成年人发生动脉粥样硬化性心血管疾病事件的风险。此模型涵盖了心脏病、中风和外周动脉疾病的风险因素,包括年龄、性别、种族、总胆固醇、HDL胆固醇、血压、糖尿病状态和吸烟状态。
0.2论文信息
见刊日期:2024.04.18

0.2期刊信息
nature 大子刊
1.关于本研究
开发一种新的CVD风险预测算法QR4,该算法纳入了新的风险因素,并对男性和女性分别估算10年CVD风险。
1.1研究数据
(1)样本
使用两个大型电子病历数据库QResearch和CPRD GOLD进行了基于社区的队列研究,其中自英国的998万成年人的健康数据进行训练,另外679万成年人的数据用于外部验证。


图1 来自苏格兰、威尔士和北爱尔兰的衍生和验证队列以及外部CPRD验证队列。参与者是那些在研究开始时没有服用CVD且没有服用他汀类药物的患者。
(2)结局定义
CVD:致命或非致命性心肌梗死,缺血性心脏病,缺血性、出血性或未指明的卒中或短暂性脑缺血发作
(3)预测变量
纳入了ASCVD 3、QRISK 3或SCORE 2中确定的风险因素以及文献中突出显示的新候选变量。
1.2研究方法
使用特定原因的Cox模型开发预测CVD风险的模型,并将QR4的性能与QRISK3、SCORE2和ASCVD风险评分进行比较。
(1)模型开发
1)COX回归模型来估计CVD风险
2)竞争风险
CVD死亡与非CVD死亡
3)连续变量的非线性风险关系评估:
分数多项式
4)缺失值处理
多重插补和链式方程
5)在插补模型中包括所有预测变量,年龄交互作用项、CVD基线累积风险的Nelson—Aalen估计值、CVD结局指标、基线累积风险和非CVD死亡结局指标
6)对男女性别进行亚组分析
(2)模型评估
C指数、DCA曲线、校准曲线
2.研究结果
(1)人群队列纳入了2个队列共997万余名受试者
(2)心血管疾病危险因素的识别
对男女性别进行亚组分型,排除年龄的交互作用(Cut-off:39岁)
在男性和女性中有7个新的CVD预测因子(脑癌、肺癌、唐氏综合征、血癌、COPD、口腔癌和学习障碍)
(3)在女性中有2个额外的预测因子(先兆子痫和产后抑郁)。

图2 CVD的最终模型调整风险比。5155595名女性和4820711名男性的调整风险比,与年龄交互作用的变量的平均年龄为39岁。对年龄和BMI的分数多项式项进行了风险比调整

图3 新危险因素对10年CVD绝对风险预测的影响。对不同年龄段的男性和女性的10年CVD风险预测。将具有每个新危险因素的个体的预测与具有相同年龄但没有新危险因素的相似个体(参考个体)的相似个体的预测进行比较。在本分析中,参考个体为白人非吸烟者,没有不良的健康状况,SBP为125 mm Hg,胆固醇/高密度脂蛋白比值为4.0,BMI为25kgm−2。
(4)QR4在女性和男性中的C统计量(C-statistic)均高于QRISK3,表明QR4具有更好的区分能力。

图4 评价QR4与QRISK3的鉴别和校准

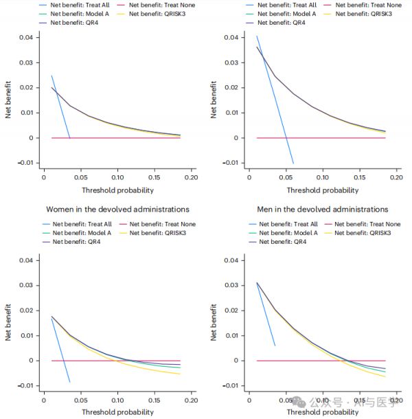
图5 QR4、QRISK3和模型a的|决策曲线。英国18-84岁男性和女性的决策曲线。将QR4、QRISK3和模型A的决策曲线与“治疗所有”(对所有个体的干预而不考虑风险阈值)和“无治疗”(对无个体的干预)的决策曲线进行比较。

图6 RISK3和QR4的|校准图。在英国验证队列中,年龄在18-84岁的男性和女性中,QR4和QRISK3的观察和预测风险的百分点校准图。红十字显示了在每个平均预测风险水平上观察到的风险与CVD的10年风险。蓝线显示了一个完美的校准场景,其中平均预测风险等于观察到的风险。
(5)QR4在男性和女性中的准确性也优于ASCVD和SCORE2风险评分。
(6)QR4风险评分能够识别新的风险群体,并在英国提供了比其他国际CVD风险评分系统更优越的CVD风险预测。
3 学习心得
3.1研究意义
(1)QR4通过识别新的高风险群体,为临床医生提供了更准确的CVD风险预测工具。
(2)QR4考虑了非CVD死亡的竞争风险,减少了对老年人群风险的过高预测。
(3)QR4的验证结果表明,它可以在英国普通人群中使用,并与三个其他广泛使用的国际CVD风险评分相比表现更优。
3.2研究局限性
(1)研究使用了匿名的电子健康记录数据,可能存在数据缺失的问题,但通过多重插补方法减少了这种偏差。
(2)尽管验证涵盖了一个完全外部的人群,但需要在不同国家和不同CVD发病率的不同人群中进一步验证QR4。
3.3结论
QR4作为一种新的CVD风险预测算法,提供了更准确的风险预测,有助于改善健康结果,特别是对于COPD患者、唐氏综合症患者、学习障碍者、癌症幸存者以及有先兆子痫或产后抑郁的女性。这篇论文代表了CVD风险预测领域的一个进步,可能会影响临床医生如何评估和干预CVD风险。
相关知识
基于大数据老年多重慢性病风险预测模型构建探究
BMI 要被淘汰了?Nature子刊:升级换代——mBMI,不仅能更准确的反映体内代谢情况,还能预测心血管疾病和二型糖尿病
基于中国护士健康队列平台建立护士睡眠障碍风险预测模型
这3项体检指标,能提前30年预测心脏病风险!
乳腺癌治疗后心脏病的风险—一项基于人群的队列研究结果
上海交大团队开展临床验证,证明毫米波心动图在心肺生命健康监测和疾病早筛应用的有效性
Nature子刊:睡眠少于7小时,心脏风险激增!超8小时死亡风险大幅增加
英国试用AI预测心脏病风险,首次临床试验将招募数百名患者
Cell子刊:傅肃能/韩卫平团队发现高蛋白饮食显著增加脂肪肝风险
BMI 宣布出局!中国学者用NHANES新指标BRI预测死亡风险,发JAMA子刊(IF=10.5)
网址: 顶刊快看:NatMed=82.9 基于多队列改进心血管风险预测新算法开发和验证 https://www.trfsz.com/newsview639090.html
推荐资讯
- 1发朋友圈对老公彻底失望的心情 12775
- 2BMI体重指数计算公式是什么 11235
- 3补肾吃什么 补肾最佳食物推荐 11199
- 4性生活姿势有哪些 盘点夫妻性 10428
- 5BMI正常值范围一般是多少? 10137
- 6在线基础代谢率(BMR)计算 9652
- 7一边做饭一边躁狂怎么办 9138
- 8从出汗看健康 出汗透露你的健 9063
- 9早上怎么喝水最健康? 8613
- 10五大原因危害女性健康 如何保 7828
