每月多少次性生活最健康?哈佛大学:21次,降低前列腺癌风险

前列腺癌,是发生在前列腺的上皮性恶性肿瘤,是男性泌尿生殖系统最常见的恶性肿瘤。前列腺癌是男性发病率第二的恶性肿瘤,仅次于肺癌。有证据表明,射精频率可能与前列腺癌的风险呈负相关,前列腺癌是一种几乎没有可改变风险因素的疾病。
美国哈佛大学的研究人员在" European Urology "(IF=24)期刊上发表了一篇题为" Ejaculation Frequency and Risk of Prostate Cancer:Updated Results with an Additional Decade of Follow-up "的研究论文。
该研究显示,每个月大于21次的射精频率,降低发生前列腺癌的风险。与每月射精4-7次的人相比,20-29岁的男性,每月射精超过21次时,前列腺癌风险降低19%;40-49岁的男性,每月射精超过21次时,前列腺癌风险降低22%。

在该研究中,研究人员分析了一项美国男性健康专家 HPFS 研究队列中31925名男性参与者,基线时参与者均没有患前列腺癌,在1992-2010期间,参与者在3个时间点报告了平均每月射精频率,包括20-29岁、40-49岁和问卷发放时,全面评估了射精频率与发生前列腺癌之间的关系。
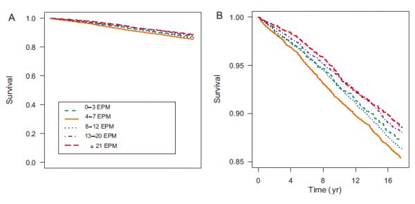
根据参与者报告的每月射精频率,将参与者分为5组,0-3次、4-7次、8-12次、13-20次、≥21次。
在18年的随访期间,共诊断出3839例前列腺癌病例。

总的来讲,在射精频率较高的男性中,前列腺癌的诊断可能性较小。
具体来说,与每月射精4-7次的人相比,20-29岁的男性,每月射精超过21次时,前列腺癌风险降低19%;40-49岁的男性,每月射精超过21次时,前列腺癌风险降低22%。

40-49岁射精频率与前列腺癌风险
然而,射精降低前列腺癌患病风险的原因仍不清楚。对于其中的机制,研究人员提出了几种解释。
首先,更频繁的射精可能影响前列腺外周区上皮细胞的功能,从而阻碍潜在致癌物的分泌和形成。
其次,更频繁的射精可能会减少前列腺腔内晶体的形成,这与前列腺癌高风险相关。
第三,较高的射精频率可能与心理紧张和中枢交感神经系统的降低有关,这可能会抑制前列腺上皮细胞分裂的刺激。
此外,研究人员也提出了局限性,射精频率是参与者回忆过去性活动的报告,这可能会带来误差,还不能排除其他生活方式因素造成的混杂影响。
综上所述,这项大型前瞻性研究提供了迄今为止最有力的证据,证明射精在预防前列腺癌方面具有有益作用。
声明:本文如实解读文献,不提供任何建议。
相关知识
性活动频率多少最健康?哈佛:每月21次
性生活频率多少最健康?哈佛研究(IF=24):一月21次
哈佛大学:咖啡可有效降低多种癌症、老年痴呆、心血管疾病的发病风险!每天喝这个量,全因死亡率降低12%!
哈佛大学新研究:这19种食物照着吃,改善代谢健康,降低慢性病风险
哈佛大学新研究揭秘:19种蔬果能降低慢性病风险,吃对更健康!
哈佛大学新研究:这 19 种食物照着吃,改善代谢健康,降低慢性病风险
哈佛大学研究:健康高质量植物性食物可降低10%缺血性中风风险
男人性生活多,易得癌?女人性生活少,绝经早?保持这个数,对男女都好
神刊CA(IF=286):持续减肥——降低32%患癌风险,降低48%癌死亡风险
神刊CA(IF=286):持续减肥,降低32%患癌风险,降低48%癌死亡风险!
网址: 每月多少次性生活最健康?哈佛大学:21次,降低前列腺癌风险 https://www.trfsz.com/newsview792556.html
推荐资讯
- 1发朋友圈对老公彻底失望的心情 12775
- 2BMI体重指数计算公式是什么 11235
- 3补肾吃什么 补肾最佳食物推荐 11199
- 4性生活姿势有哪些 盘点夫妻性 10428
- 5BMI正常值范围一般是多少? 10137
- 6在线基础代谢率(BMR)计算 9652
- 7一边做饭一边躁狂怎么办 9138
- 8从出汗看健康 出汗透露你的健 9063
- 9早上怎么喝水最健康? 8613
- 10五大原因危害女性健康 如何保 7828
