美国名校:一种让炸薯条更健康的方法,微波油炸,含油量低,更脆
问AI · 微波油炸如何通过内部压力减少油脂吸收?
炸薯条,那金黄酥脆的外壳和绵软的内芯,总能让人欲罢不能。然而,传统油炸(CF)带来的高脂肪和高热量,让追求健康的现代人望而却步。虽然市面上出现了“空气炸锅”或“真空油炸”,但它们要么无法完美复刻灵魂口感,要么设备成本高昂。
今天,伊利诺伊大学提出了一种极具潜力的全新方案——微波油炸(Microwave Frying, MF)。这篇发表在《食品科学杂志》上的新研究,通过对比传统油炸与两种不同频率(2.45 GHz 和 5.8 GHz)的微波油炸,揭示了微波技术如何运用物理学,把薯条里的油逼出来。
1. 薯条吸油的秘密:一场微观世界的“气压拉锯战”
要搞懂怎么让薯条少吸油,先得知道薯条是怎么把油“喝”进去的。在油炸过程中,高温会让薯条内部的水分迅速汽化。根据物理学原理,这些膨胀的水蒸气会在薯条内部的孔隙中产生一种向外的推力,我们称之为“正孔隙压力”。此时的薯条就像一个向外吹气的气球,这股推力能有效阻止外部的油脂渗入 。

但是!随着油炸继续,水分越炸越少,内部蒸汽压力开始下降。孔隙内的毛细管作用力显现,压力由正转负。此时,薯条内部会产生一种“抽吸效应”(负孔隙压力),就像一块干爽的海绵,疯狂地把表面的油脂吸进体内 。
因此,科学家得出一个核心解题思路:如果能让薯条内部产生更大、更持久的正压力,就能抵御更多的油脂入侵!
2. 定制版微波油炸锅
为了验证理论,研究团队打造了一台特殊的微波油炸原型机。它不仅能进行传统的泡油炸,还能同时发射两种频率的微波:
2.45 GHz 微波: 家用微波炉的常用频率,穿透力强(可深入薯条 9.4 毫米)。
5.8 GHz 微波: 工业/医疗级频率,穿透力较浅(仅能深入 3.8 毫米),加热能量更集中在薯条表层。
研究人员用先进的光纤传感器深入薯条内部,精准测量了薯条中心的温度和压力。

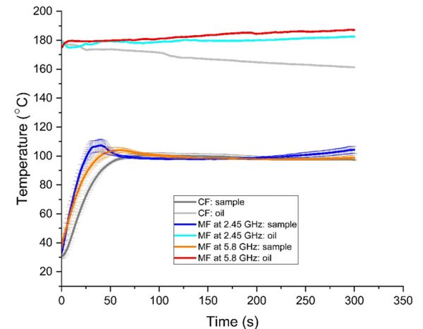
3. 比赛结果一:微波加热,天下武功唯快不破
传统油炸(CF)是通过热油从外向内传导热量,而微波则是穿透进去进行“体积加热”。
温度飙升数据的记录显示 ,微波油炸的升温速度远超传统油炸。其中 2.45 GHz 微波最猛,薯条中心最高温度达到了 107.3℃;5.8 GHz 紧随其后达到 104.1℃;而传统油炸只有 100.5℃。微波加热不仅效率极高,还能大幅缩短加工时间,这对食品工业来说意味着巨大的时间和能源节省。

4. 比赛结果二:内部高压“逼退”油脂
核心的防油测试来了!传感器记录下了薯条内部的压力变化曲线。
这是一场微波组的完胜:2.45 GHz 和 5.8 GHz 微波分别在薯条内部产生了高达 24.9 kPa 和 20.8 kPa 的超高正压力!相比之下,传统油炸产生的峰值压力只有可怜的 13.8 kPa。这种由微波引发的强力“由内向外的蒸汽推力”,正是微波薯条含油量更低的关键物理机制。压力越大,油脂越是难以入侵。

5. 比赛结果三:更低的水分,更少的含油量
我们炸薯条通常是以“水分降到什么程度”(即出锅水分标准)来决定是否炸好的。通过交叉对比水分和含油量的数据。
当薯条水分降至某一阶段,传统油炸的含油量开始像坐火箭一样飙升。但是,奇迹出现了:2.45 GHz 的微波薯条含油量几乎保持不变,5.8 GHz 的增加速度也非常缓慢。这意味着,在达到同样干爽程度(出锅标准)的前提下,微波油炸能产出热量密度更低、更健康的低脂薯条。

6. 比赛结果四:体积收缩与口感的终极考验
薯条在油炸时会不可避免地变小。研究发现,这三种方法导致的体积缩水程度差异并不大,但微波炸出来的薯条整体密度变得更低了,在测试中甚至能直接浮在正庚烷液体上。
更重要的是吃货们最关心的口感问题。科学家使用了专业的质构仪,并代入广义麦克斯韦模型(Maxwell's model)对其进行了“应力松弛”测试。
数据显示,5.8 GHz 微波赢得了口感之王的称号!它炸出的薯条弹性模量最高,硬度最大、最松脆(Crunchier)。这是因为它的微波穿透力比较浅,热量集中猛攻薯条外壳,迅速蒸发外层水分,形成了致密完美的酥脆外层。相反,2.45 GHz 微波因为穿透太深,水分由内向外均匀散失,导致外壳不够强韧,炸出的薯条口感相对偏软。
科学总结:健康快餐的未来
这项硬核研究证实,微波油炸(尤其是 5.8 GHz 频率)是一项能够“既要口感又要健康”的黑科技。它既能通过强大的内部蒸汽正压力阻止油脂渗入,产出低卡路里的健康薯条,又能极大缩短加工时间,还能打造出让吃货痴迷的嘎嘣脆口感。
相关知识
不含油、低脂?“非油炸”薯片真的更健康吗
炸薯条前加一步,吸油少又酥脆,健康更美味!
教你自己做薯片,不用油炸,比买来的更薄更脆更健康!
非油炸果蔬脆=健康?低温真空油炸藏高油陷阱,100g热量堪比薯片
“非油炸”比“油炸”更好更健康?真相让人惊讶!
【步骤图】非油炸薯片,更加健康!的做法
“非油炸”食品未必更健康
油炸食品和非油炸食品,哪种更健康?答案可能和你想的不一样
非油炸食品真的比油炸食品更健康吗?
烧烤和油炸哪个更健康 猪耳朵的油炸方法
网址: 美国名校:一种让炸薯条更健康的方法,微波油炸,含油量低,更脆 https://www.trfsz.com/newsview1916518.html
推荐资讯
- 1发朋友圈对老公彻底失望的心情 12775
- 2BMI体重指数计算公式是什么 11235
- 3补肾吃什么 补肾最佳食物推荐 11199
- 4性生活姿势有哪些 盘点夫妻性 10428
- 5BMI正常值范围一般是多少? 10137
- 6在线基础代谢率(BMR)计算 9652
- 7一边做饭一边躁狂怎么办 9138
- 8从出汗看健康 出汗透露你的健 9063
- 9早上怎么喝水最健康? 8613
- 10五大原因危害女性健康 如何保 7828
